Jai Shree Krishna. Jai Gurudev.
Geeta Ashram Malaysia will be celebrating the 2nd anniversary of our Deity Installation (Praan Pratishta). To mark this auspicious event, we will be having a special function on Sunday, 31.03.2019 from 7.30am – 1.00pm.
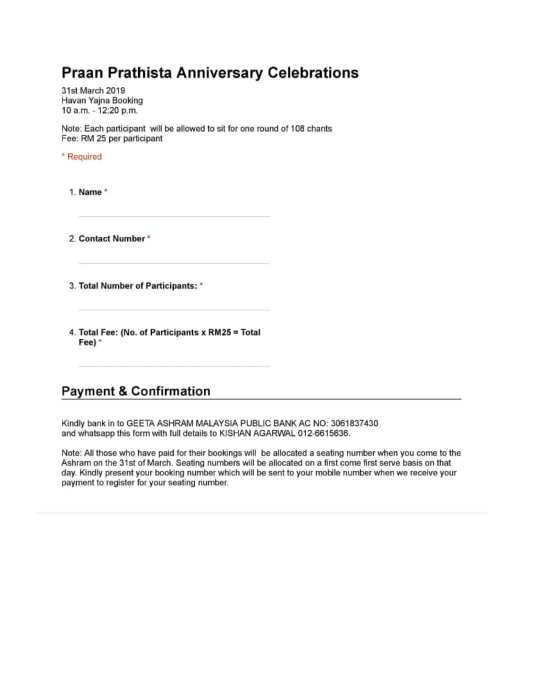
The programme will first start with a Maha-Abhishegam (ritual bathing of our 4 deities) conducted by 4 different hosts (termed Yajmaans). Following this, will be a Havan whereby 108 chants of each deity will be done. All are invited to participate! More details are on the posters attached below.



Please kindly contact Bro. Kishan Agarwal – 012 661 5636, or Panditji 011 1440 3891 for more information / for havan placement bookings.




